Ответы
Ответ дал:
0
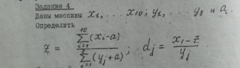
begin
var x := ReadArrReal('Введите 10 элементов массива X:', 10);
var y := ReadArrReal('Введите 8 элементов массива Y:', 8);
var a := ReadReal('Введите значение a:');
var z := (x.Sum(p -> p - a)) / (y.Sum(p -> p + a));
var d := ArrGen(8, j -> (x[0] - z) / y[j]);
Println('z =', z);
Writeln('Вектор d');
d.Println
end.
Приложения:

tiurin83:
Нет мне нужно обществознание сделать и я хочу чтоб кто-нибудь из лидеров ответил на мой вопрос
Вас заинтересует
1 год назад
1 год назад
3 года назад
3 года назад
8 лет назад