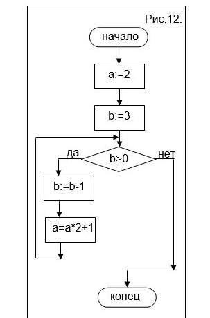
Определите значение переменной а после выполнения алгоритма (см .рис 12)​

Приложения:

Ответы

Ответ дал: gfhjkmgfhjkm20
2

Ответ:

a=23

Объяснение:

a=2 b=3

пока b>0 то b=b-1 a=a*2+1

3>0 (да) b=2 a=5

2>0 (да) b=1 a=11

1>0 (да) b=0 a=23

0>0 (нет) b=0 a=23  

Вас заинтересует