• Предмет: Геометрия
  • Автор: NastyNasty27
  • Вопрос задан 11 лет назад

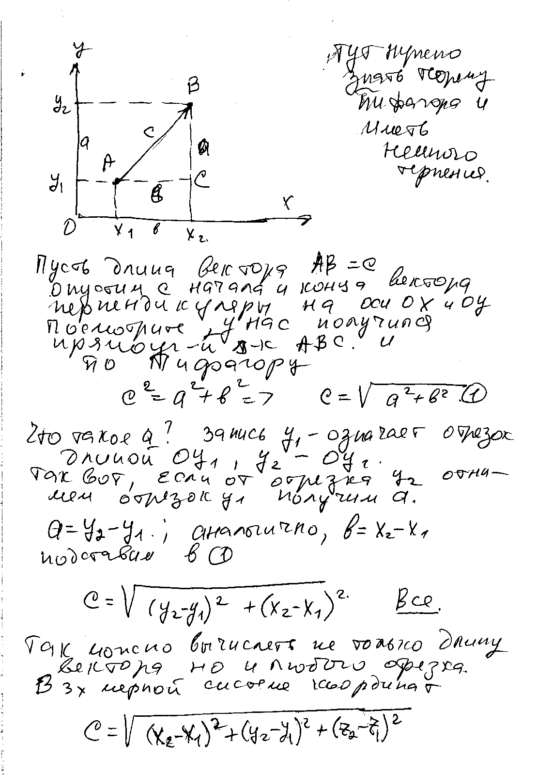
выведете формулу для вычисления длины вектора по его координатам

Ответы

Ответ дал: ужнеужели
0
выведете формулу для вычисления длины вектора по его координатам
Приложения:
Вас заинтересует