Ответы
Ответ дал:
2
Ответ:
Объяснение:
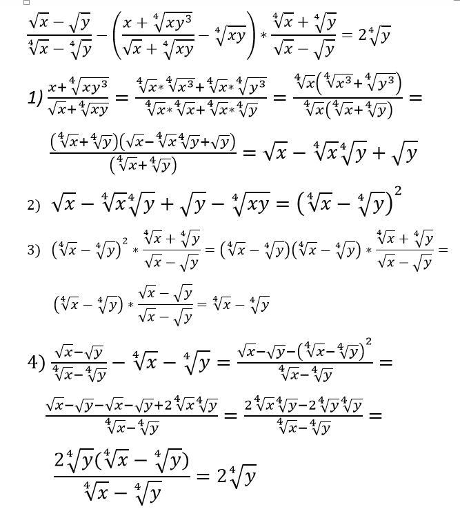
корень четвертой степени число неотрицательное
значение выражения не отрицательно и не зависит от х
Приложения:

Вас заинтересует
1 год назад
1 год назад
1 год назад
1 год назад
3 года назад
3 года назад
8 лет назад