Ответы
Ответ дал:
1
Ответ:
решение на фото..............
Приложения:

Ответ дал:
1
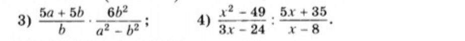
3) 5(a+b)/b *6b²/(a-b)(a+b)= 30b/(a-b)
4) (x-7)(x+7)/3(x-8) *(x-8)/5(x+7)= (x-7)/15
Вас заинтересует
1 год назад
1 год назад
1 год назад
1 год назад
3 года назад
3 года назад
8 лет назад