• Предмет: Математика
  • Автор: chelovekrubik
  • Вопрос задан 2 года назад

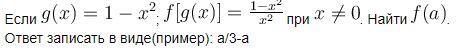
Условие и вопрос на рисунке!!!

Приложения:

Ответы

Ответ дал: iknowthatyoufeelbro
1

Пошаговое объяснение:

g(x)=1-x^2\\f(g(x))=\frac{1-x^2}{x^2}=\frac{1-x^2}{-(1-x^2)+1}\\f(a)=\frac{a}{-a+1}=\frac{a}{1-a}


chelovekrubik: Спасибо
chelovekrubik: Еще поможете решить?)
Вас заинтересует