• Предмет: Математика
  • Автор: LustForLive
  • Вопрос задан 2 года назад

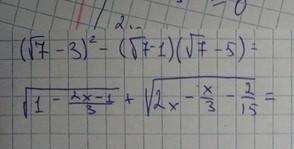
помогите решить пожалуйста 1 и 2 примеры!​

Приложения:

Ответы

Ответ дал: adavinnik
1

Ответ:

Пошаговое объяснение:

1)(\sqrt{7} -3)^{2}-(\sqrt{7} -1)(\sqrt{7}-5)=7-6\sqrt{7} +9-(7-5\sqrt{7}-\sqrt{7}+5)=16-6\sqrt{7}-12+6\sqrt{7} =4</p><p>2)[tex]\sqrt{1-\frac{2x-1}{3} } + \sqrt{2x-\frac{x}{3}-\frac{2}{15}  } =\\\sqrt{\frac{-2x+4}{3} } +\sqrt{\frac{30x-5x-2}{15} } =\sqrt{\frac{-2x+4}{3} }+\sqrt{\frac{25x-2}{15} }

Вас заинтересует