• Предмет: Алгебра
  • Автор: kcheaev
  • Вопрос задан 2 года назад

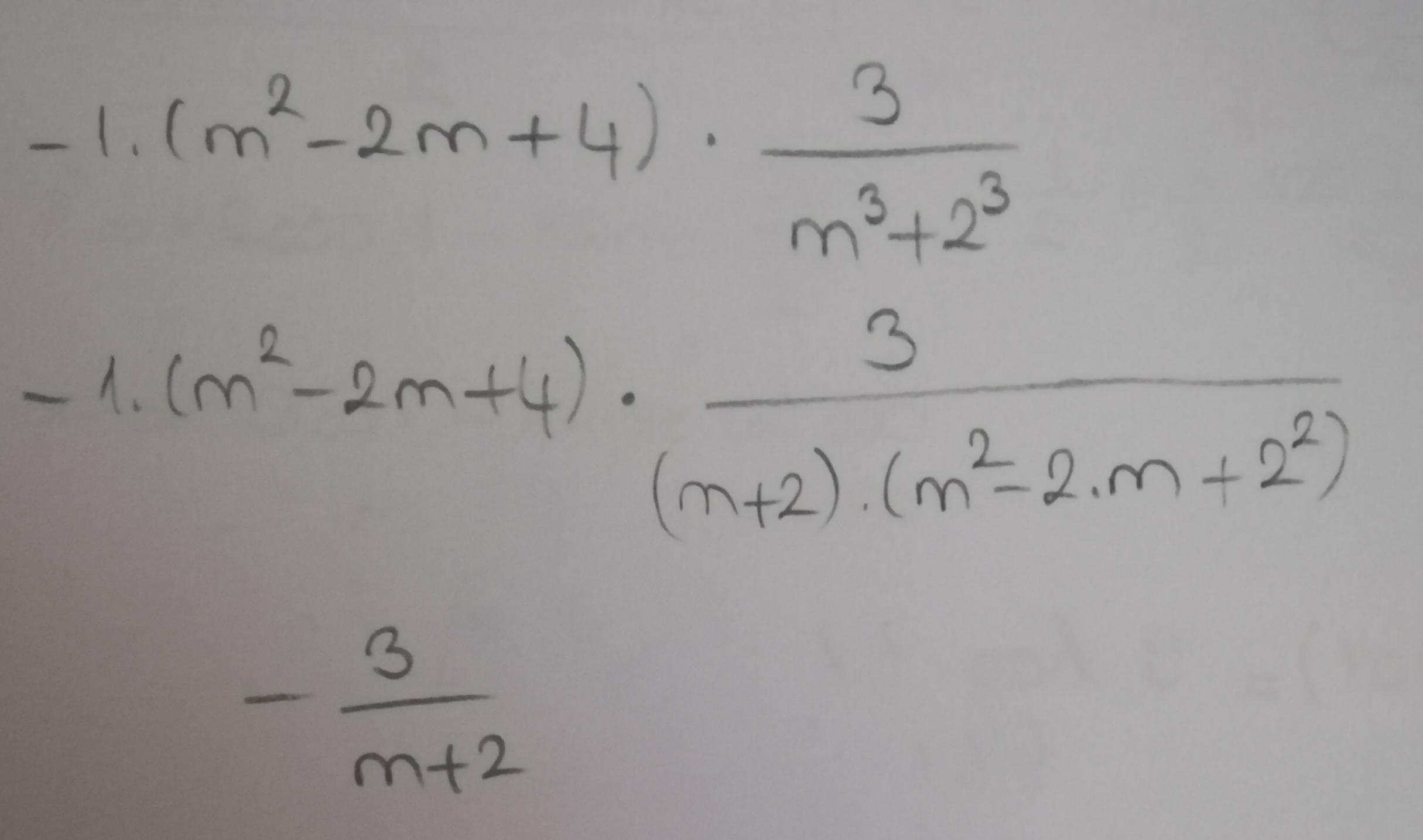
(-m^2+2m-4)*-3/m^3+8

Ответы

Ответ дал: Mirage86
0

I hope this helps you

Приложения:
Вас заинтересует