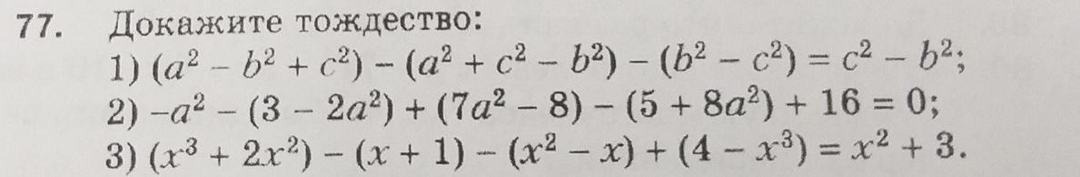
3 раз уже... Решить 2 номера
Приложения:


seraphimonthering:
Ты поменял фото что-ли? А то я по другому фото делал...
Ответы
Ответ дал:
1
Все, где я написал 1, 2, 3 - пиши в тетрадь, а остальное - это объяснение.
Приложения:

Ответ дал:
0
Объяснение:
в последнем ответ -1-35-9=-45
Приложения:

Вас заинтересует
1 год назад
1 год назад
3 года назад
8 лет назад
8 лет назад