Ответы
Ответ дал:
1
irka9356:
оаооо....Очень благодарна♥️Photo Math делает не так как учат в школеА вы супер
Ответ дал:
0
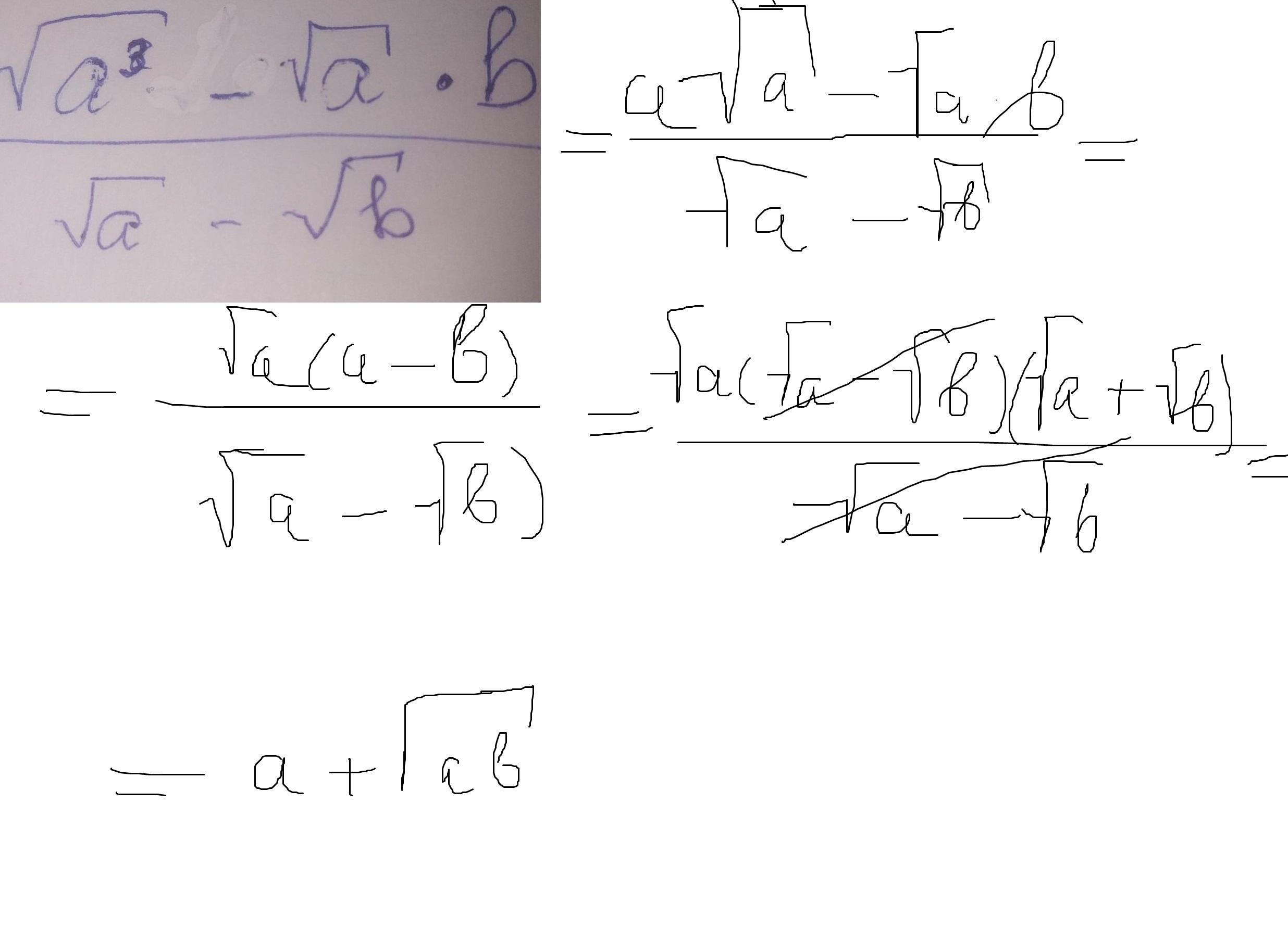
Ответ:
Объяснение:
вот и все
Приложения:

Вас заинтересует
1 год назад
1 год назад
1 год назад
3 года назад
3 года назад
8 лет назад
8 лет назад