Ответы
Ответ дал:
1
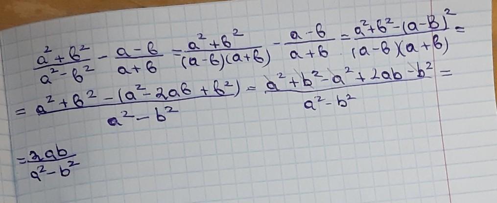
a²+b²:a²-b²-a-b:a+b=2ab:a²-b²
Приложения:

Вас заинтересует
1 год назад
1 год назад
3 года назад
3 года назад