• Предмет: Математика
  • Автор: trifonovaviolla
  • Вопрос задан 2 года назад

Очеееень срочно нужно решите​

Приложения:

miki68: 20332

Ответы

Ответ дал: hedggehog
1

Ответ:

Пошаговое объяснение:

......................

Приложения:
Ответ дал: Leonori
1

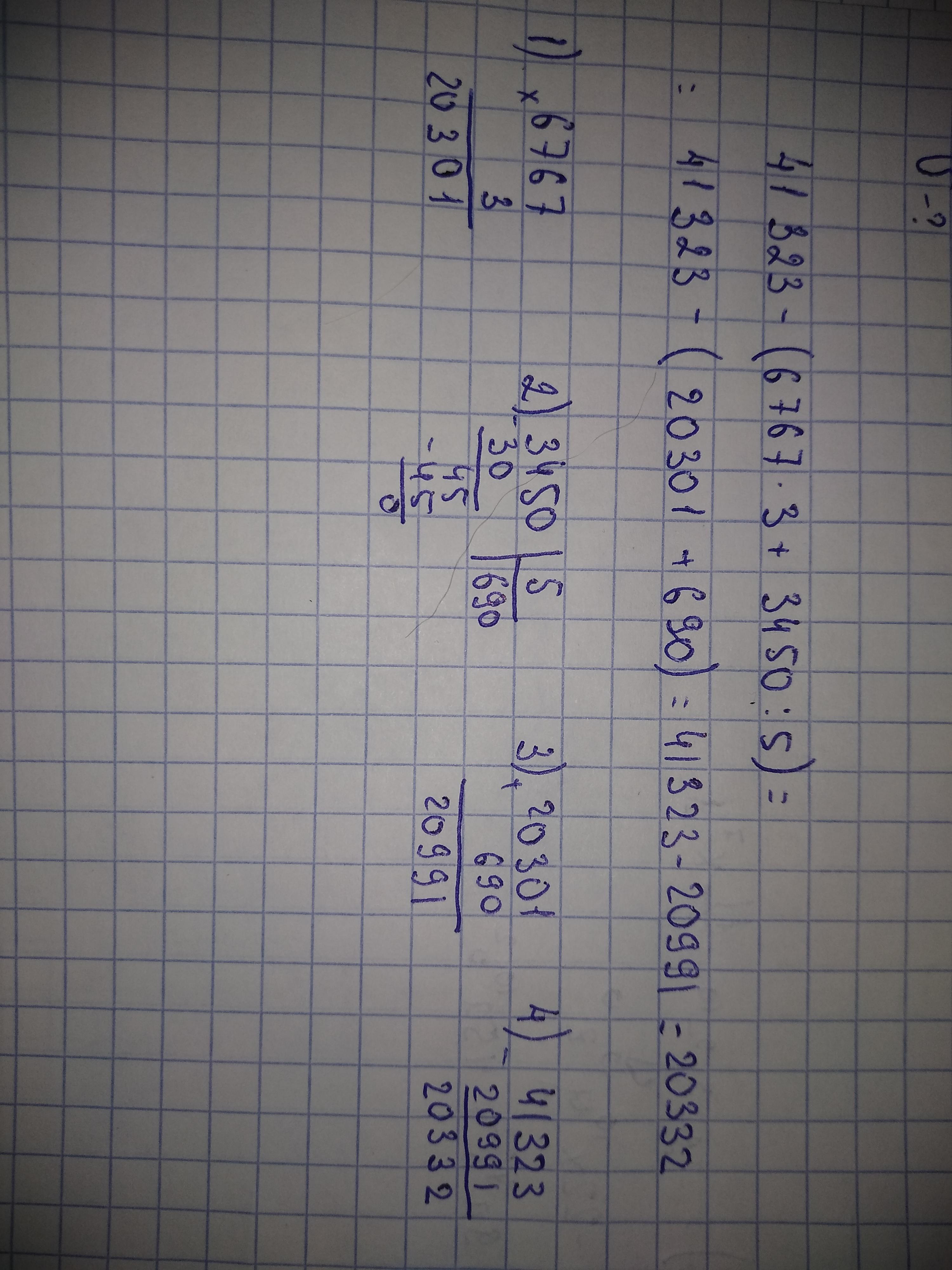
41323-(6767*3+3450:5)

Решим по действиям:

1)6767*3=20301

2)3450:5=690

3)20301+690=20991

4)41323-20991=20332

Ответ: 20332

Вас заинтересует