Ответы
Ответ дал:
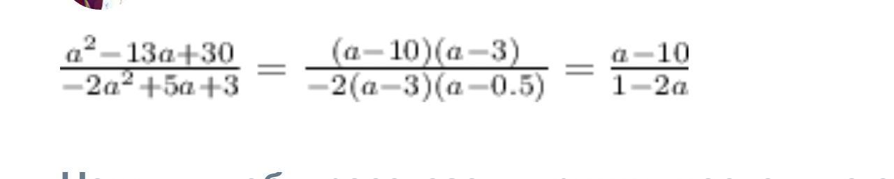
0
Ответ: пока первое, если что дополню в коментариях
Объяснение:
Приложения:

Вас заинтересует
1 год назад
1 год назад
1 год назад
1 год назад
3 года назад
8 лет назад
Х^2 = а ; а > 0
9а^2 - 37а + 4 = 0
D = 1369 - 144 = 1225 = 35^2
a1 = ( 37 + 35 ) : 18 = 4
a2 = ( 37 - 35 ) : 18 = 1/9
X^2 = 4
X1 = ( + ; - ) 2
X^2 = 1/9
X = ( + ; - ) 1/3
Ответ 1/3 ; - 1/3 ; - 2 ; 2
Подробнее - на Znanija.com - https://znanija.com/task/21114278#readmore