• Предмет: Математика
  • Автор: Absnhznd
  • Вопрос задан 2 года назад

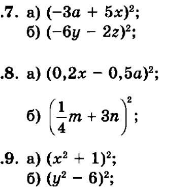
помогите пожалуйста (с решением)

Приложения:

Ответы

Ответ дал: alyatalk
0

Ответ:

Вот так ‍♀️

Пошаговое объяснение:

Вот так, если что-то не так напиши

Приложения:
Вас заинтересует