• Предмет: Математика
  • Автор: 2408milana
  • Вопрос задан 2 года назад

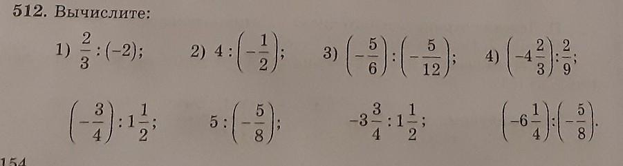
помогите пожалуйта!!!!!!!!!​

Приложения:

Ответы

Ответ дал: morgenstern1919
1

Ответ:

Пошаговое объяснение:

Приложения:
Вас заинтересует