• Предмет: Алгебра
  • Автор: Аноним
  • Вопрос задан 2 года назад

"Умножение и деление рациональных дробей. Тождественные преобразования рациональных выражений"
НАПИШИТЕ ОТ РУКИ ПОПОНЯТНЕЕ, заранее сяп :З ​

Приложения:

Ответы

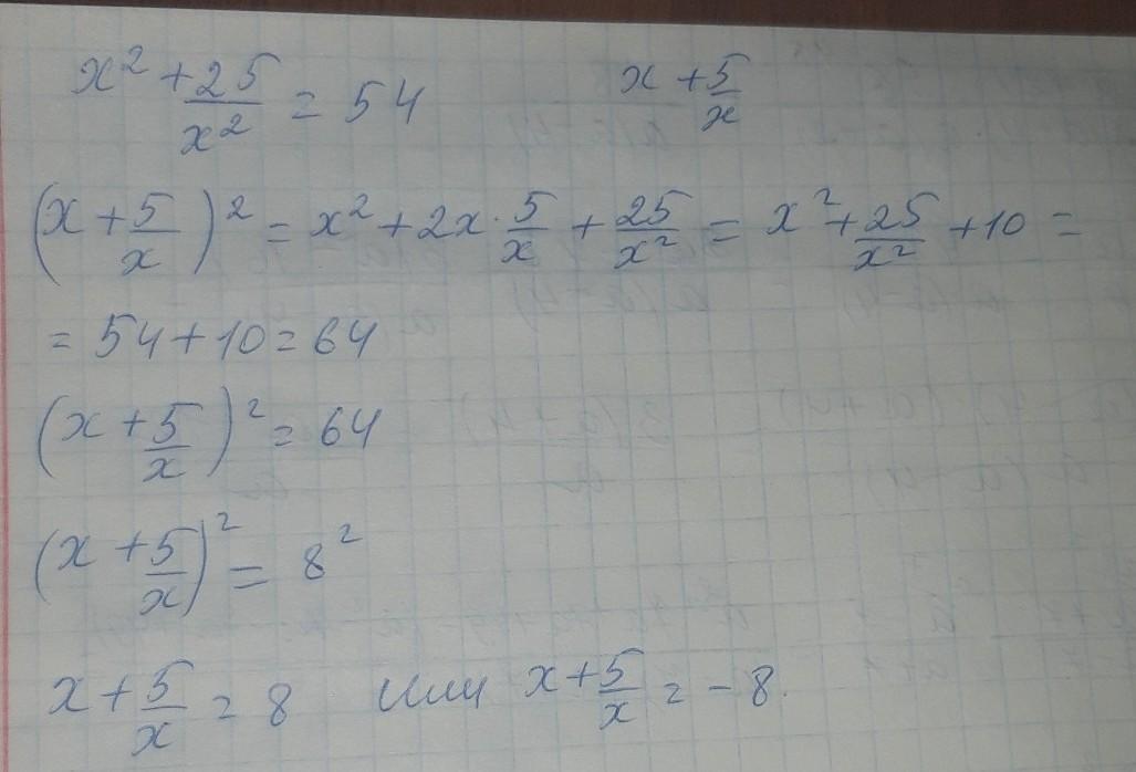
Ответ дал: lida2708
4

Ответ:

решение на фото

Объяснение:

В первом номере 1 действие умножение, пишем все под одной чертой и сокращаем

2 действие вычитание, приводим к наименьшему общему знаменателю, затем опять сокращаем

во втором тоже первое действие в скобках, второе деление и сокращаем

Во 2 номере нужно привести равенство тождества и выражения после равно, мы к этому привели и доказали

Приложения:
Вас заинтересует