• Предмет: Физика
  • Автор: goldenvery
  • Вопрос задан 2 года назад

ПОМОГИТЕ ПОЖАЛУЙСТА

Приложения:

Ответы

Ответ дал: hedggehog
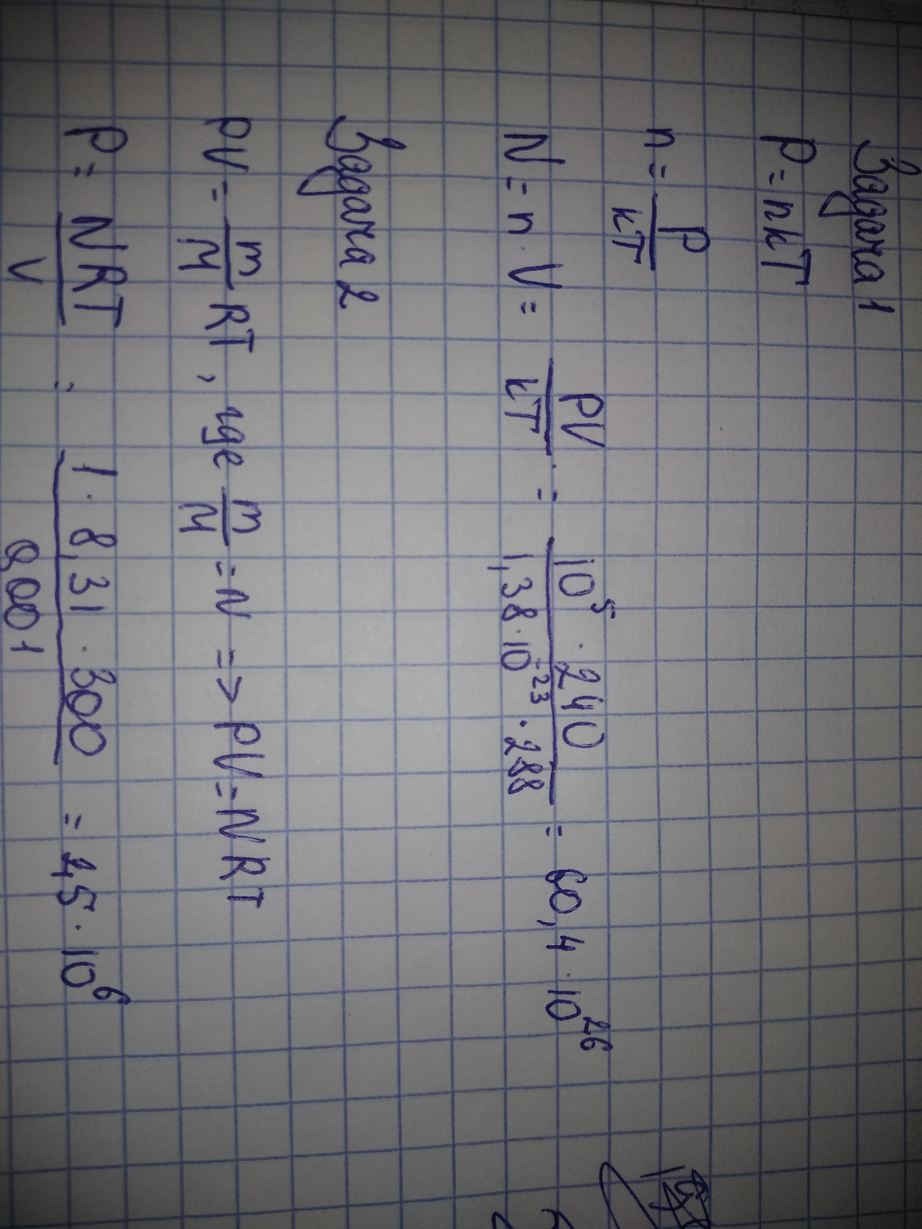
1

Ответ:

Объяснение:

ответ прикреплен во вложениях

Приложения:
Вас заинтересует