Очень срочно! Помогите решить , нужны не только ответы, но и решение.
Задание на фото
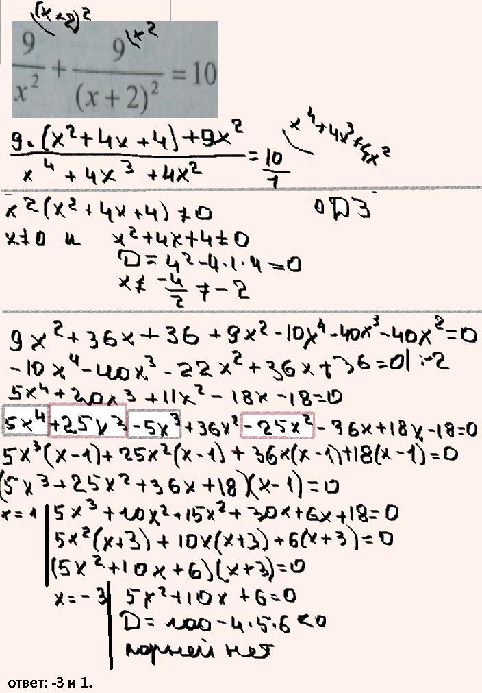
Приложения:

Ответы
Ответ дал:
0
9/x² + 9/(x + 2)² = 10
x ≠ 0 x ≠ -2
замена x = y-1
9/(y - 1)² + 9/(y + 1)² = 10
9*((y - 1)² + (y + 1)²) = 10*(y - 1)²(y + 1)²
9(y² - 2y + 1 + y² + 2y + 1) = 10(y² - 1)²
9(2y² + 2) = 10(y² - 1)²
9*2(y² + 1) = 10(y² - 1)²
9(y² + 1) = 5(y² - 1)²
y² = t >=0 (если брать только действительные корни)
9t + 9 = 5t² - 10t + 5
5t² - 19t - 4 = 0
D = 19² + 80 = 21²
t12= (19 +- 21)/10 = 4 -1/5
t1=-1/5 нет действительных корней (если есть комплексные то y=+-i√1/5 x = -1 +- i√1/5))
t2 = 4
y² = 4
y1 = 2 x1 = y - 1 = 1
y1 = -2 x2= y - 1 = -3
Ответ x = {-1, -3} (если нужны комплексные то x = -1 +- i√1/5)
Ответ дал:
0
Ответ:
см фото
Объяснение:
Приложения:

Вас заинтересует
1 год назад
1 год назад
1 год назад
3 года назад
3 года назад
8 лет назад