• Предмет: Математика
  • Автор: dimavfoxSander
  • Вопрос задан 2 года назад

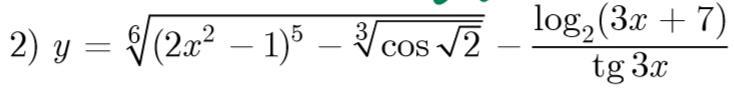
Можно ли логарифмировать сумму?

Как найти производную от такой функции?

Приложения:

Ответы

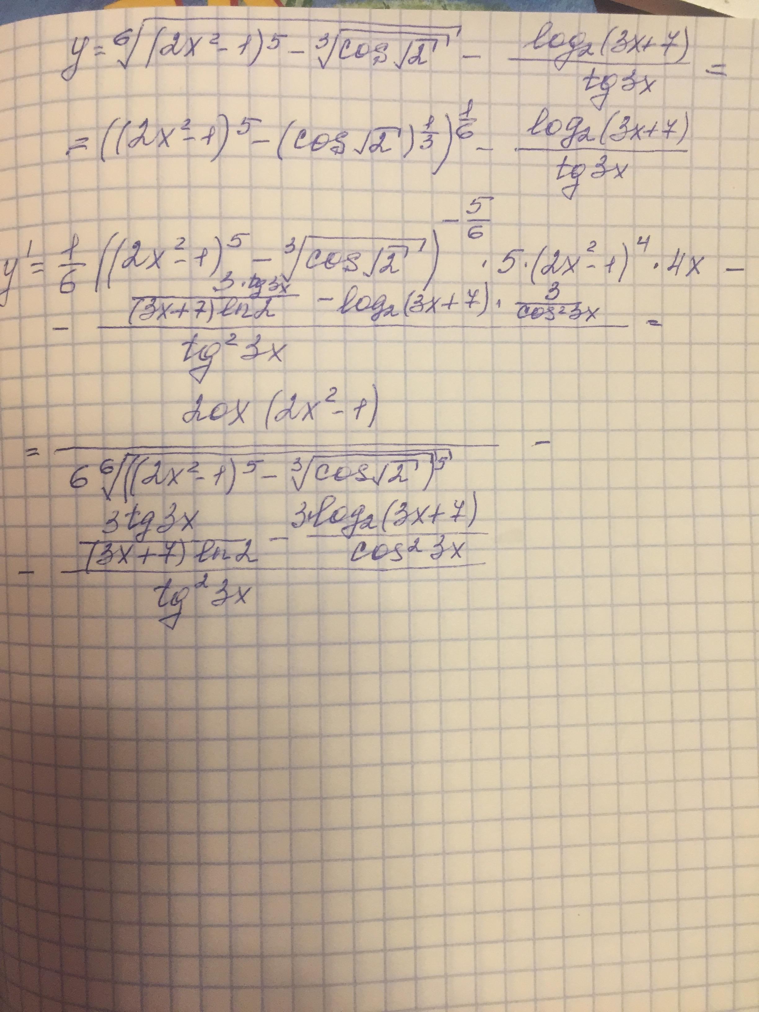
Ответ дал: natalyabryukhova
1

Ответ:

=============================

Пошаговое объяснение:

Приложения:

dimavfoxSander: А можно ли логарифмировать сумму функций?
dimavfoxSander: То есть
y = F1*F2+F3*F4, F1-F4 ( функции )
можно так?
ln y = ln(F1*F2)+ln(F3*F4)
И потом найти производные каждого логарифма?
Вас заинтересует