• Предмет: Алгебра
  • Автор: toltosirki
  • Вопрос задан 2 года назад

Алгебра 10 класс, решение плз

Приложения:

Ответы

Ответ дал: Nullpo201
0

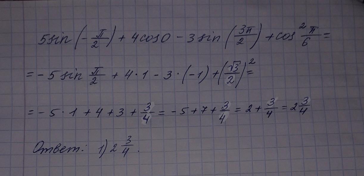
5sin(-π/2)+4cos0-3sin(3π/2)+cos²(π/6) = -5+4+3+3/4 = 2 3/4

Ответ дал: mayli
1

Ответ:

смотри фото............

Приложения:
Вас заинтересует