• Предмет: Геометрия
  • Автор: 19Alex96
  • Вопрос задан 11 лет назад

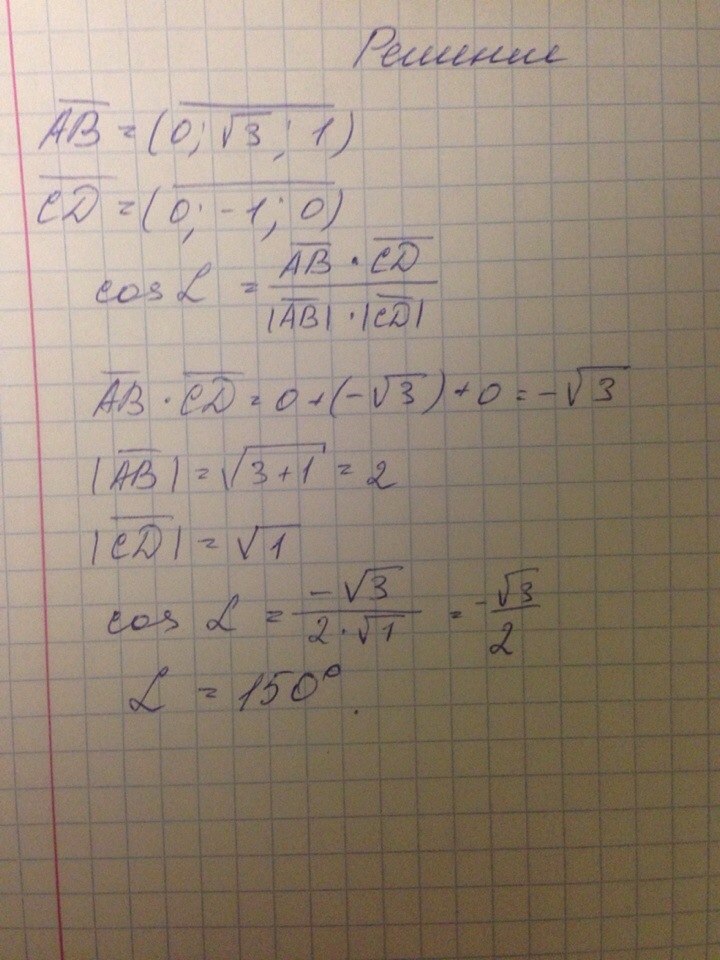
найдіть кут між векторами АВ і СD, якщо A(1;0;2), B(1;
3;3), 
C(-1;0;3), D(-1;-1;3). 

Ответы

Ответ дал: olyaolya97
0
Ответ в фотоооооооооооооо
Приложения:
Вас заинтересует