• Предмет: Информатика
  • Автор: Аноним
  • Вопрос задан 2 года назад

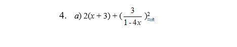
Паскаль. Написать программу по формуле:

Приложения:

Ответы

Ответ дал: BobbyFresnel
1

===== PascalABC.NET =====

begin

 var x := ReadReal('x =');

 var y := 2 * (x + 3) + Sqr(3 / (1 - 4 * x));

 Println(y)

end.

Примечание. При х = 0.25 в знаменателе образуется ноль. В этом случае программа выдаст значение Infinity (бесконечность).

Вас заинтересует