Ответы
Ответ дал:
1
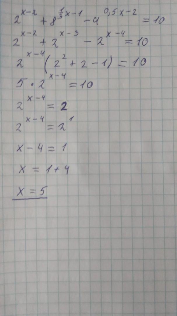
Ответ:
x = 5
Объяснение:
На картинке объяснение, поставь как лучший ответ пожалуйста.
Приложения:

Lsnowzbs:
обьясни откуда 2^2+2-1 пж)) туплю что-то
Вас заинтересует
1 год назад
1 год назад
1 год назад
3 года назад
3 года назад