• Предмет: Алгебра
  • Автор: Kristina2114
  • Вопрос задан 2 года назад

Решите алгебраическую дробь

Приложения:

Ответы

Ответ дал: tatsach
0

Ответ:

Объяснение:

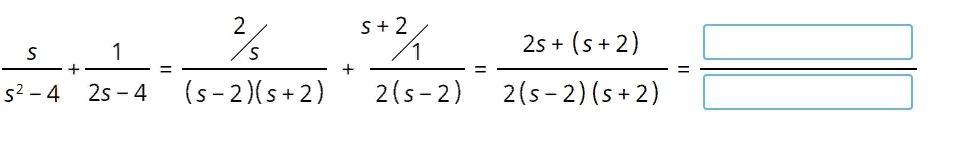
=2s+s+2 \ 2s² - 8 = 3s+2 \ 2s² - 8

Вас заинтересует