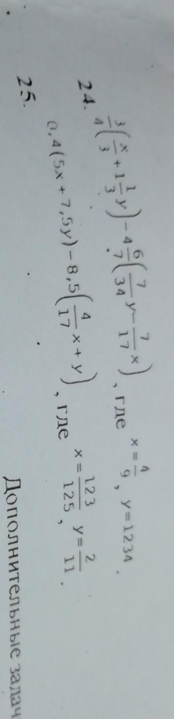
помогите прошу и не могу понять эти примеры помогите я вас прошу вы алах
Приложения:

jekadva:
24) = x/4 + y - y + 2x = x/4 + 2x = (4/9)/4 + 2 * 4/9 = 1/9 + 8/9 = 9/9 = 1
Ответы
Ответ дал:
1
Ответ:
1) 1
2) - 1
Пошаговое объяснение:
Смотри решение на фотках
Приложения:


Вас заинтересует
1 год назад
1 год назад
1 год назад
3 года назад
3 года назад
8 лет назад