• Предмет: Алгебра
  • Автор: alinadik418
  • Вопрос задан 2 года назад

помогите пожалуйста решить уравнение)​

Приложения:

Ответы

Ответ дал: Аноним
4

Ответ:

Объяснение:

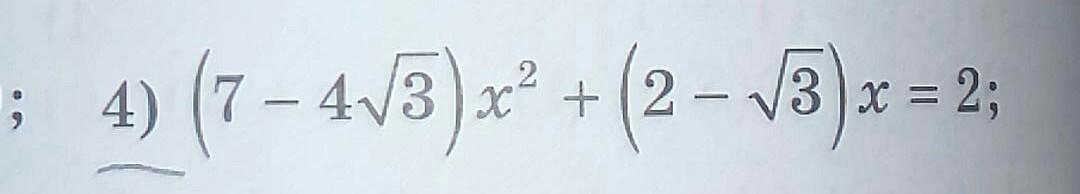
(7-4\sqrt{3} )x^2+(2-\sqrt{3})x=2

заметим, что:

7-4√3=2²-2*2*√3+(√3)²=(2-√3)²

(2-√3)²x²+(2-√3)x-2=0

D=b²-4ac

D=(2-√3)²+4*2(2-√3)²=(3*(2-√3))²

\displaystyle\\x_1=\frac{-(2-\sqrt{3})-3(2-\sqrt{3})}{2*(2-\sqrt{3})^2}=\frac{-4(2-\sqrt{3})}{2(2-\sqrt{3})^2}=\frac{-2}{2-\sqrt{3}}*\frac{2+\sqrt{3} }{2+\sqrt{3}} =-4-2\sqrt{3}\\ \\ \\ x_2=\frac{-(2-\sqrt{3})+3(2-\sqrt{3})}{2*(2-\sqrt{3})^2}=\frac{2(2-\sqrt{3})}{2(2-\sqrt{3})^2}=\frac{1}{2-\sqrt{3}}*\frac{2+\sqrt{3} }{2+\sqrt{3}} =2+\sqrt{3}\\ \\ \\

Вас заинтересует