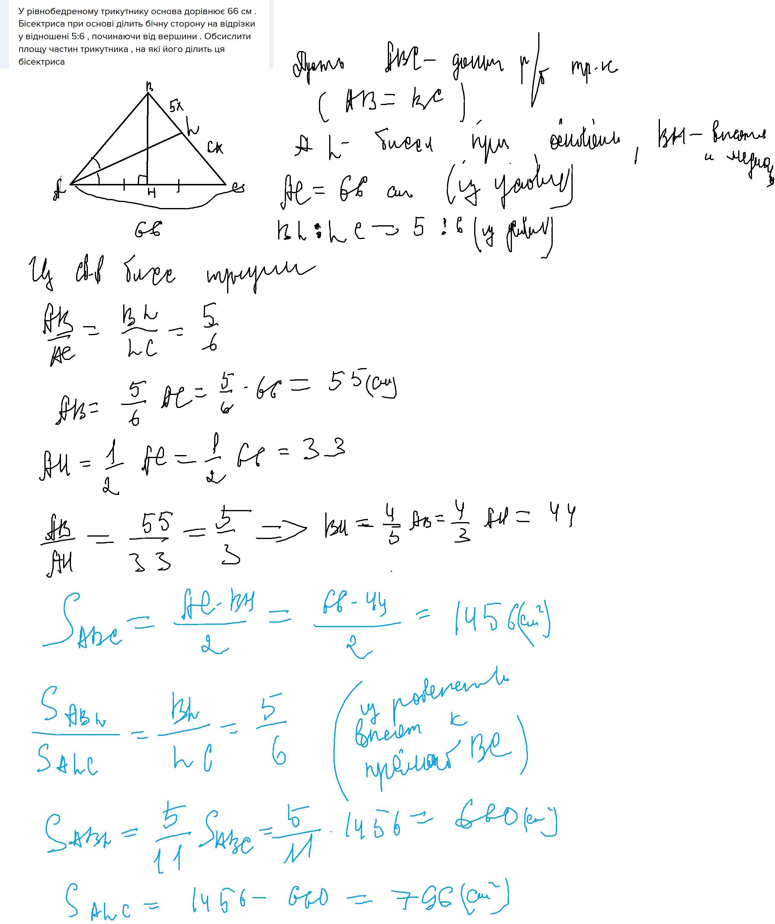
у рівнобедреному трикутнику основа дорівнює 66 см . Бісектриса при основі ділить бічну сторону на відрізки у відношені 5:6 , починаючи від вершини . Обсислити площу частин трикутника , на які його ділить ця бісектриса
Ответы
Ответ дал:
3
Ответ:
Объяснение:у рівнобедреному трикутнику основа дорівнює 66 см .
Приложения:

Вас заинтересует
1 год назад
1 год назад
1 год назад
1 год назад
3 года назад
3 года назад
8 лет назад