• Предмет: Алгебра
  • Автор: meermanovnurbek85
  • Вопрос задан 2 года назад

решите аожалуйста очень срочно пжпжпажжа!!!​

Приложения:

mihail1484: блин кто знает историю 19 века помогите зайдите в мои вопросы и ответьте

Ответы

Ответ дал: sofa201978
0

вот ответ...........

Приложения:
Ответ дал: Ruslan9000
0

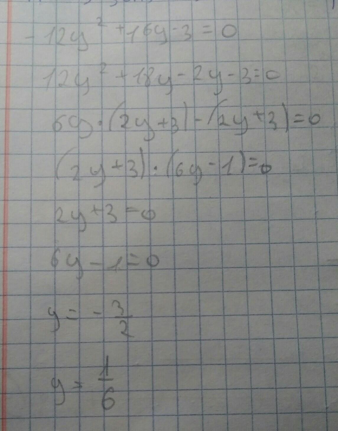
1) 12у²+16у-3=0

D=16²-4*12*(-3)=400=20²

y(1)=(-16+20)/24=4/24=1/6

y2)=(-16-20)/24=-36:24=-1,5

Ответ: 1/6; -1,5

2) 2у²-5у-3=0

D=5²-4*2*(-3)=25+24=49=7²

y(1)=(5+7)/4=12/4=3

y(2)=(5-7)/4=-2/4=-0.5

Ответ: -0.5; 3

3)5а²+9а+4=0

D=9²-4*4*5=81-80=1

а(1)=(-9+1)/10=-0.8

а(2)=(-9-1)/10=-1

Ответ: -1; -0.8

4)х²-34х+289=0

D÷34²-4*289*1=1156-1156=0

Так как дискриминант равен 0, то уравнение имеет один корень

х=34/2=17

Ответ: 17

Вас заинтересует