• Предмет: Алгебра
  • Автор: MenPelmen
  • Вопрос задан 2 года назад

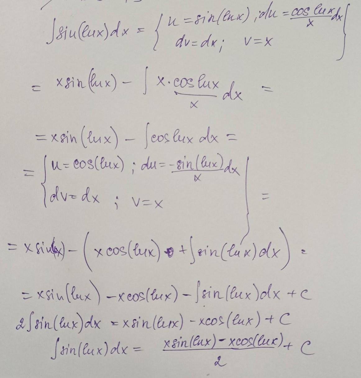
Вычислить:

интеграл (sin(ln x)dx) ​

Ответы

Ответ дал: Аноним
4

Ответ:

........................

Приложения:

MenPelmen: Вау!
Вас заинтересует