• Предмет: Алгебра
  • Автор: cykakat
  • Вопрос задан 2 года назад

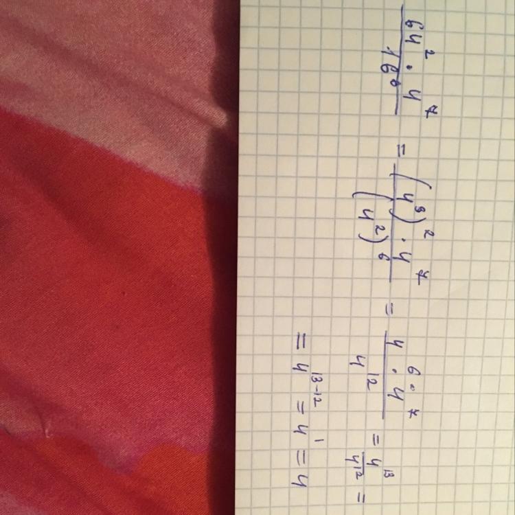
вычислите
а) 64 во 2 степени*4 в 7 степени / 16 в 6 степени
СРОЧНО ПЖ!!!


opanaseca67: 961/256
opanaseca67: відповідь

Ответы

Ответ дал: Аноним
11
Ответ на фотографии:
Приложения:

opanaseca67: ні
Аноним: Что?
cykakat: спасибо
opanaseca67: 961/256 відповідь
Вас заинтересует