• Предмет: Алгебра
  • Автор: cykakat
  • Вопрос задан 2 года назад

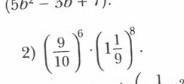
вычислите 2 пример ПОЖАЛУЙСТА​

Приложения:

Ответы

Ответ дал: Voronessa
1

Предположим. На стадии общей дроби я вычитала степени (по их свойству). Из 8й степени 6ю. И получалась 2я степень

Приложения:
Вас заинтересует