• Предмет: Алгебра
  • Автор: katuninu
  • Вопрос задан 2 года назад

укажите наименьшее и наибольшее целые решения неравенства 4-x^2 >(2+x)^2​

Ответы

Ответ дал: Аноним
2

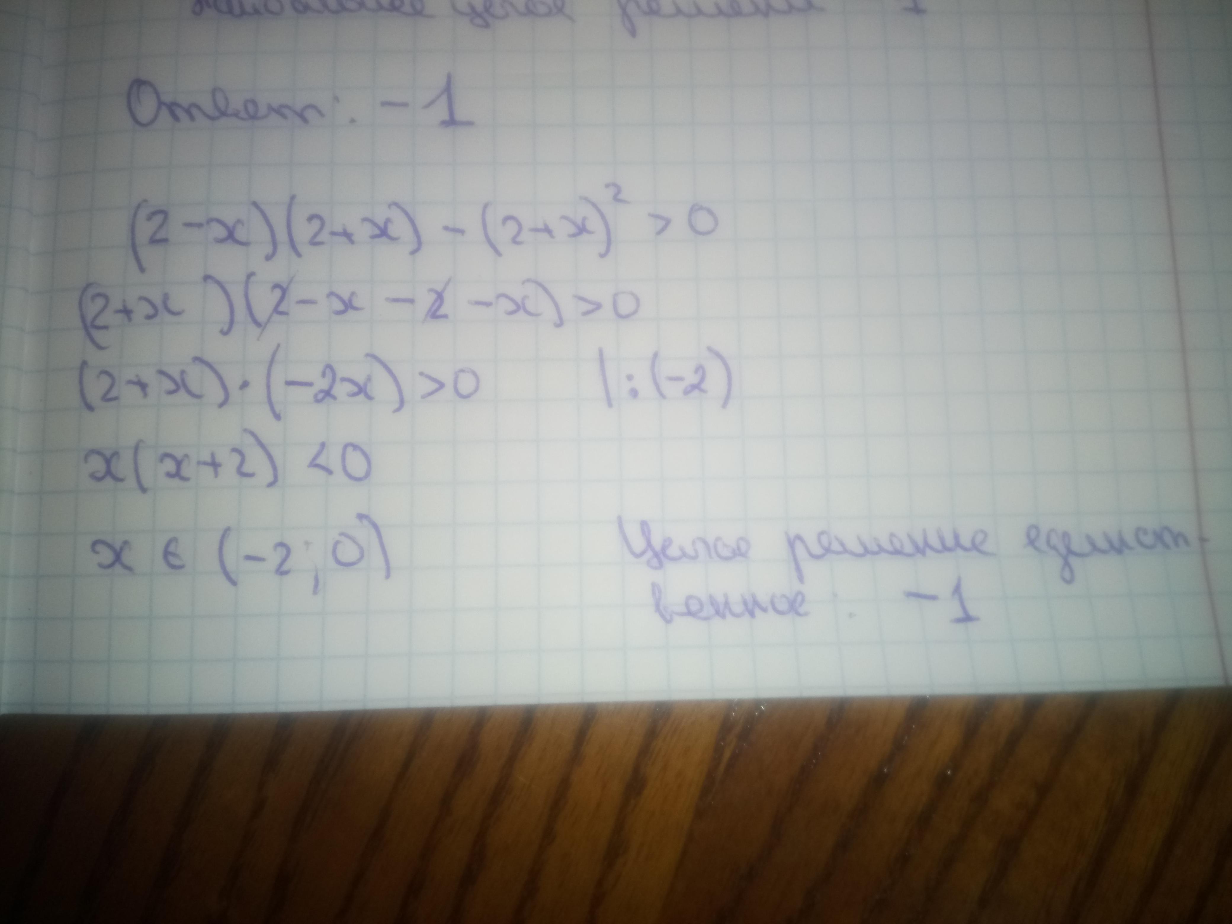
Ответ - 1. Решение задания приложено. 2 способа

Приложения:
Ответ дал: Nullpo201
2

4-x² > (2+x)²

(2-x)(2+x)-(2+x)²>0

(2+x)(2-x-2-x)>0

-2x(2+x)>0

x(2+x)<0

+. -. +

-------------(-2)----------(0)----------------

x€(-2;0)

min = max = -1

Вас заинтересует