Ответы
Ответ дал:
0
Ответ:
Решение квадратных уравнений.
Приложения:

Ответ дал:
0
Ответ:
Пошаговое объяснение:
1 способ
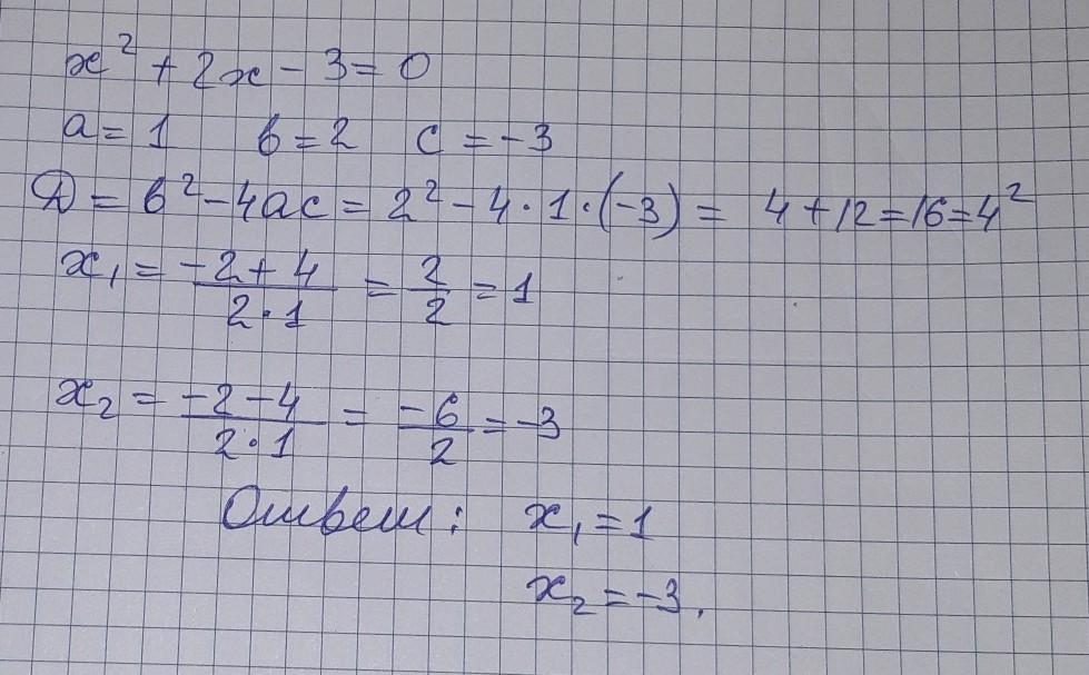
X^2+2x-3=0
X^2+2x+1-1-3=0
(x+1)²-4=0
(x+1)²=4
x+1=-2 либо х+1=2
х=-2-1 либо х=2-1
х=-3 либо х=1
2 способ
X^2+2x-3=0
D=2²-4×1×(-3)=16; √16=4
x=(-2±4)/2
x1=(-2-4)/2=-3
x2=(-2+4)/2=1
Ответ: -3;1;
Вас заинтересует
1 год назад
1 год назад
1 год назад
3 года назад
8 лет назад