• Предмет: Алгебра
  • Автор: vikelfimov1
  • Вопрос задан 2 года назад

Срочно ч на уроке пожалкйсста​ 5 надо

Приложения:

Ответы

Ответ дал: OliverTvistor
1

Ответ:

Объяснение:

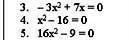
-3x2+7x=0 / -

3x2-7x=0

X(3x-7)=0

X=0 или 3x-7=0

x=7/3

Ответ дал: Машулечка2006
1

Объяснение:

3.

-3х²+7х=0

-3х²=-7х

3х²=7х |:х

3х=7

х=7:3

х=2 1/3

4.

х²-16=0

х²=16

х=4

5.

16х²-9=0

16х²=9

х²=9/16

х=3/16

Вас заинтересует