• Предмет: Алгебра
  • Автор: Lavertus75
  • Вопрос задан 2 года назад

помогите пожалуйста​

Приложения:

Ответы

Ответ дал: theoriaTestUsu
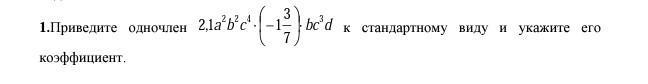
1

Ответ:

2.1 * a²b²c^4 * (-1 3/7) * bc³d = -3 * a²b²c^4bc³d = -3a²b³c^7d

Коэффициент --- -3

Объяснение:

1). Перемножаешь все числа в одночлене. (2.1 * (-1 3/7) = -3)

2). Затем степени одинаковых переменных складываешь (Например:           а^5 + а³ = а^8  (^ - степень))

3). И записываешь в порядке: число со знаком, буквы со степенями в порядке алфавита.

4). Коэффициент - это число со знаком перед буквенной частью.

Вас заинтересует