• Предмет: Математика
  • Автор: Alina24r3
  • Вопрос задан 2 года назад

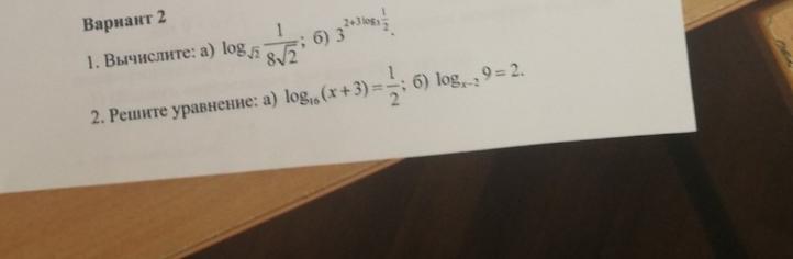
СРОЧНО, ПОМОГИТЕ ПОЖАЛУЙСТА!!!

Приложения:

Ответы

Ответ дал: Nina1952
0
Смотри ))))))))))))))))))))))))))))
Приложения:
Вас заинтересует