• Предмет: Алгебра
  • Автор: dasha4544
  • Вопрос задан 2 года назад

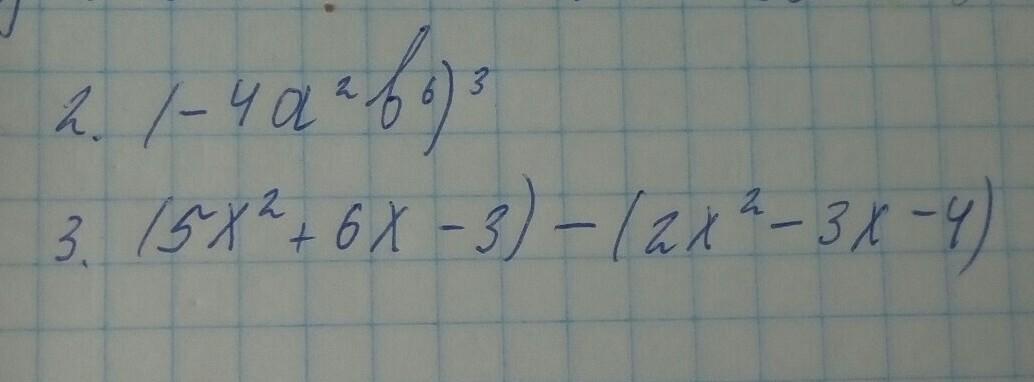
Надо преобразовать в стандартный вид!!!
Помогите пожалуйста!!!!!! ​

Приложения:

Ответы

Ответ дал: amira061293
1

Ответ:

2)-64a^6b^18 3)3x^2+9x+1

Объяснение:

2)-64a^6b^18 коэффицент возводим в степень и степени над буквами умножаем на 3

3)5x^2+6x-3-2x^2+3x+4=3x^2+9x+1

Вас заинтересует