Ответы
Ответ дал:
3
Ответ:
- в скобках получилось: 9/30. и ответ 21/30.
- в скобках получилось: 19/27. и ответ 151/108.
- в скобках получилось: 3/36 и ответ 27/36.
- в скобках получилось: 9/40 и ответ 45/40.
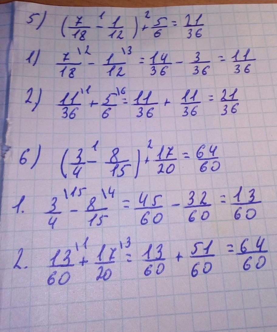
- в скобках получилось: 11/36 и ответ 21/36.
- в скобках получилось: 13/60 и ответ 64/60.
Пошаговое объяснение:
1. сначала делаем в скобках и приводим к общему знаменателю, то есть домнажаем.
2. сначало делаем в скобках и приводим к общему знаменателю.потом домнажаем.
3. сначала делаем в скобках и приводим к общему знаменателю, то есть домнажаем.
4.сначала делаем в скобках и приводим к общему знаменателю, то есть домнажаем.
5. сначала делаем в скобках и приводим к общему знаменателю, то есть домнажаем.
6. сначала делаем в скобках и приводим к общему знаменателю, то есть домнажаем.
Приложения:


Вас заинтересует
1 год назад
1 год назад
1 год назад
3 года назад
8 лет назад