• Предмет: Математика
  • Автор: MrPerelman
  • Вопрос задан 2 года назад

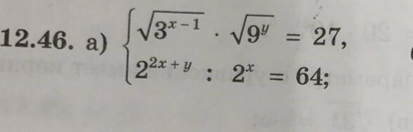
Решите уравнение, пожалуйста

Приложения:

Ответы

Ответ дал: manyny06
0

Ответ: решение смотри на фотографии

Пошаговое объяснение:

Приложения:
Вас заинтересует