Ответы
Ответ дал:
1
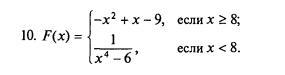
using System;
using static System.Console;
class Program
{
static void Main() {
double f,x;
Write("x=");
x=double.Parse(ReadLine());
if (x<8)
f=1/(x*x*x*x-6);
else
f=-x*x+x-9;
WriteLine("F(x)="+f.ToString());
}
}
Вас заинтересует
2 года назад
2 года назад
2 года назад
3 года назад
3 года назад
9 лет назад