• Предмет: Математика
  • Автор: nikiotjop
  • Вопрос задан 2 года назад

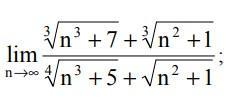
Вычислить предел функции натурального аргумента

Приложения:

Ответы

Ответ дал: Alexаndr
0

\displaystyle\lim_{n\to\infty}\frac{\sqrt[3]{n^3+7}+\sqrt[3]{n^2+1}}{\sqrt[4]{n^3+5}+\sqrt{n^2+1}}=\frac{\infty}{\infty}=\lim_{n\to\infty}\frac{n(\sqrt[3]{1+\frac{7}{n^3}_{\to0}}+\sqrt[3]{\frac{1}{n}_{\to0}+\frac{1}{n^3}_{\to0}})}{n(\sqrt[4]{\frac{1}{n}_{\to0}+\frac{5}{n^4}_{\to0}}+\sqrt{1+\frac{1}{n^2}_{\to0}})}=\\=1

Вас заинтересует