• Предмет: Математика
  • Автор: irinkatea
  • Вопрос задан 2 года назад

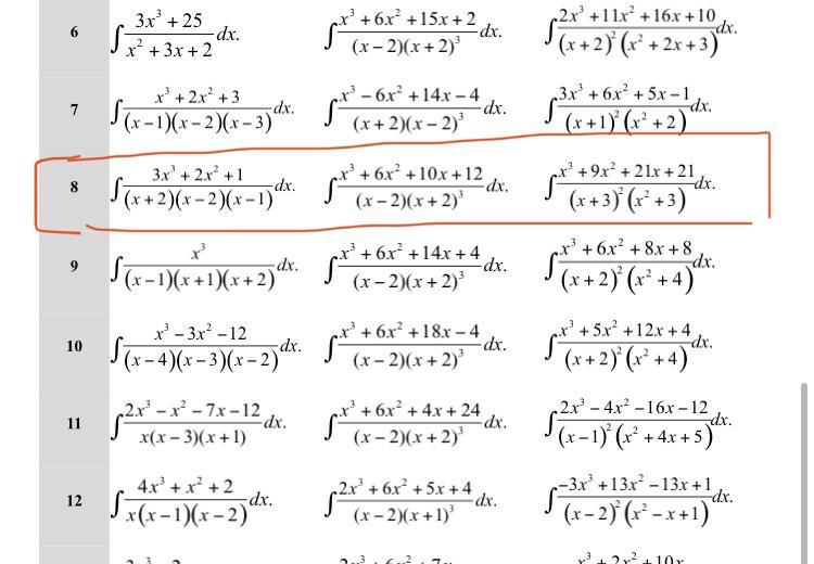
Помогите вычислить интегралы от дробно-рациональных функций,предварительно разложив их на сумму простейших рациональных дробей (8 вариант,3 номера)

Приложения:

Ответы

Ответ дал: 17alina11
0

Ответ:

ты реально в 5 классе?

мы такого не решали в 5


irinkatea: Я на 2 курсе просто акк старый
17alina11: а понятно
17alina11: просто зашла в категорию 1-5 класс
Вас заинтересует