• Предмет: Алгебра
  • Автор: Yudil
  • Вопрос задан 2 года назад

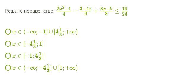
Пожалуйста решите неравенство.

Приложения:

Ответы

Ответ дал: fantomspektra465
1

Ответ:

второй вариант [-13/3; 1]

Приложения:
Вас заинтересует