• Предмет: Алгебра
  • Автор: daryacameneva2004
  • Вопрос задан 2 года назад

Помогите решить, пожалуйста!
Вот уравнение:
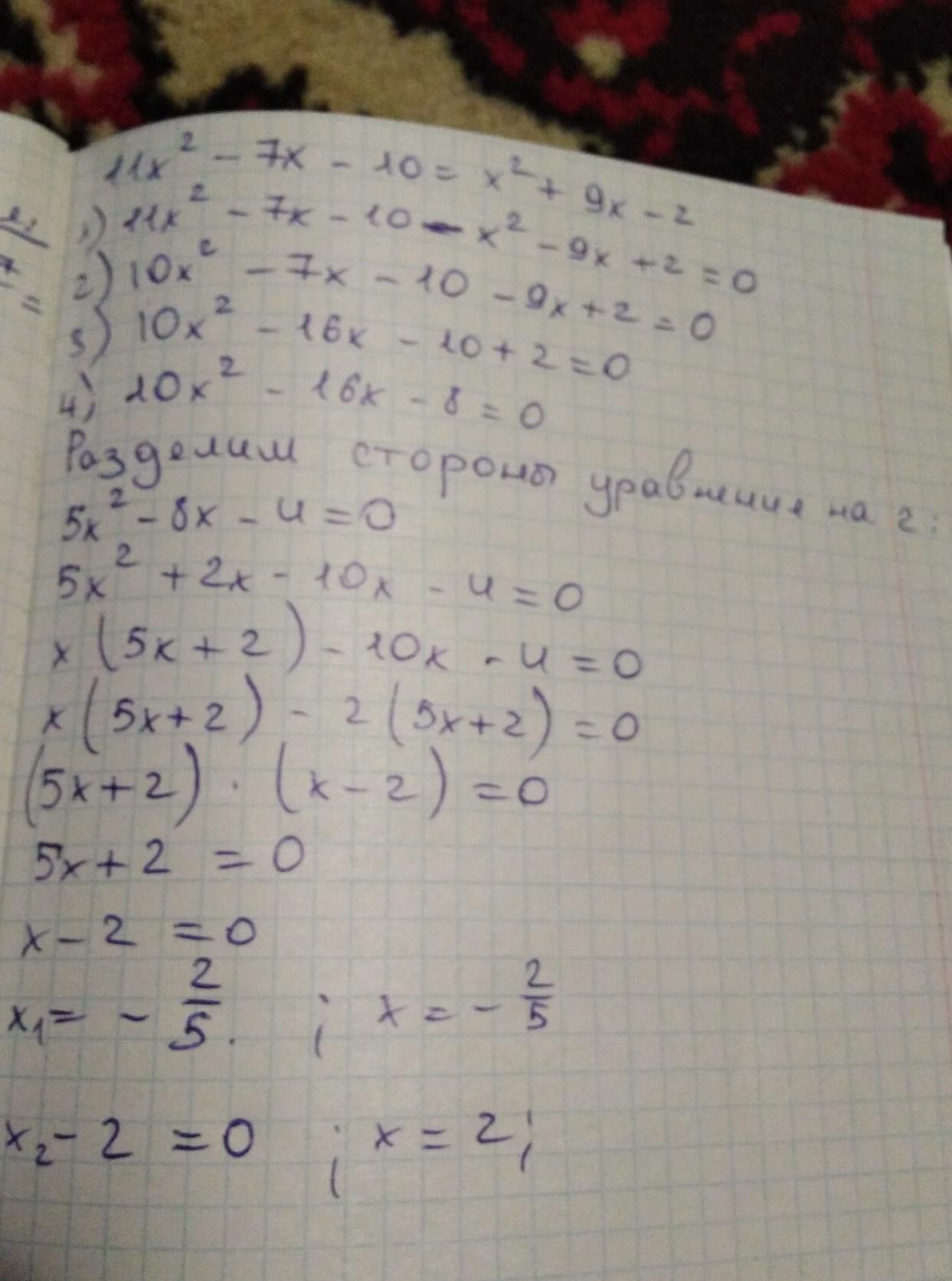
11x {}^{2}  - 7x - 10 = x {}^{2}  + 9x - 2

Ответы

Ответ дал: QDominus
2

11 {x}^{2}  - 7x - 10 =  {x}^{2}  + 9x - 2 \\ 10 {x}^{2}  - 16x - 8 = 0 \\ 5 {x}^{2}  - 8x - 4 = 0  \\ D =  {8}^{2} + 4 \times 4 \times 5 =  {12}^{2}  \\ x_{1} = 2 \\ x_{2} =  -  \frac{2}{5}

Ответ: -0.4; 2

Ответ дал: ideykalo1337
2

Объяснение:

решение на фото.........

Приложения:
Вас заинтересует