3/14:2/21=
12:15/16=
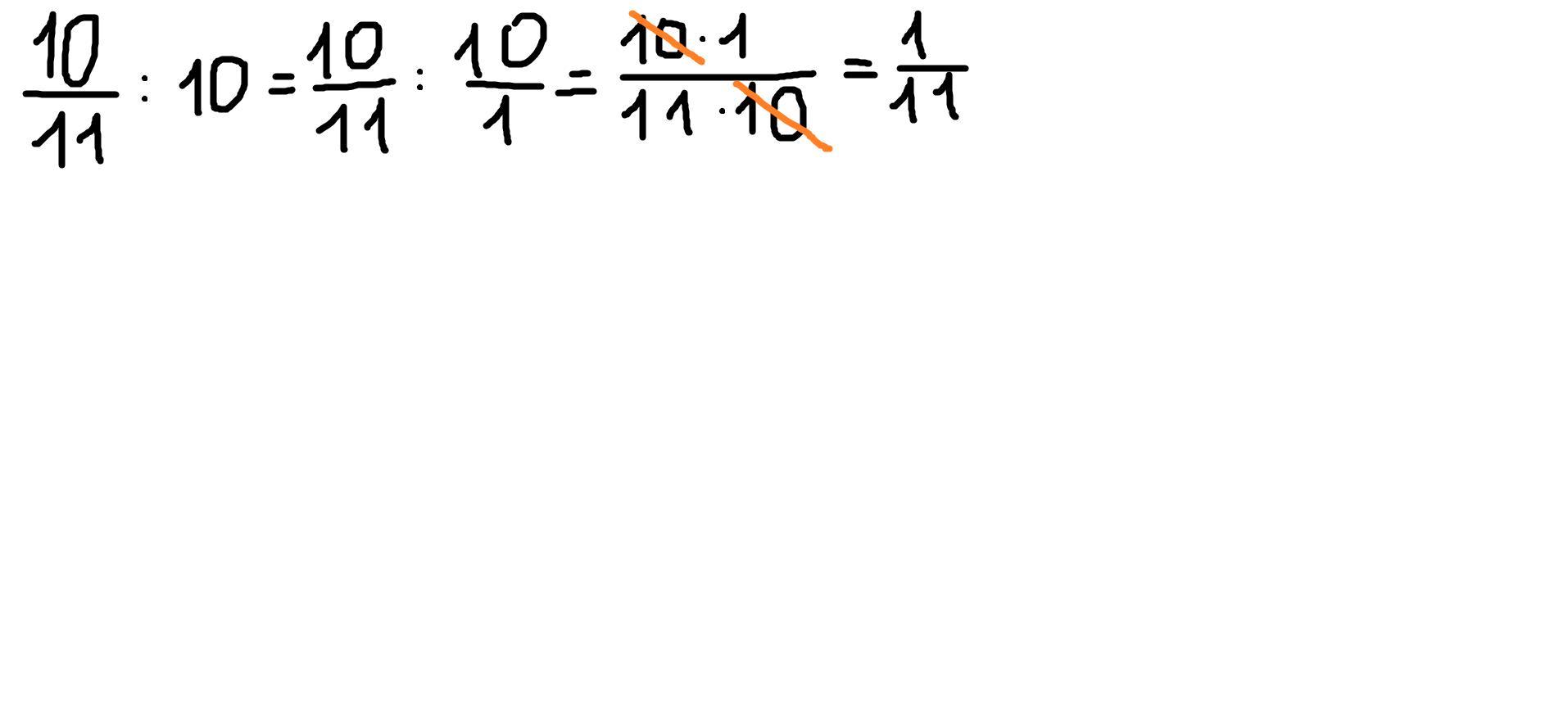
10/11:10=
Аноним:
ща решу
Ответы
Ответ дал:
3
Ответ: 2 1/4 ; 12 4/5 ; 1/11
Пошаговое объяснение: ↓↓↓ как то так ↓↓
Приложения:


Вас заинтересует
1 год назад
1 год назад
3 года назад
3 года назад
8 лет назад
8 лет назад