Ответы
Ответ дал:
2
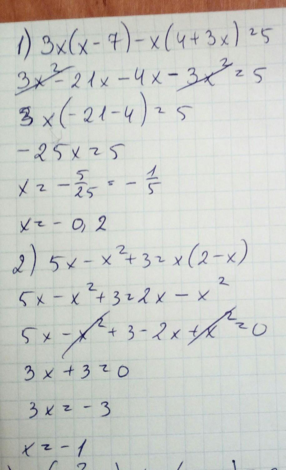
Ответ:Вродь норм
Объяснение:
Приложения:

minikotik6824:
Спасибо огромное! Честно сказать, я в этом ничего не понимаю. Как вы так решаете, я не знаю
Ответ дал:
1
Ответ:
подробно в файле удачи
Приложения:


Вас заинтересует
1 год назад
1 год назад
1 год назад
3 года назад
8 лет назад
8 лет назад