• Предмет: Химия
  • Автор: dasha205290
  • Вопрос задан 2 года назад

РЕШИТЕ,СРОЧНО ПОЖАЛУЙСТА!!!!!!​

Приложения:

Ответы

Ответ дал: АЛИКА2003
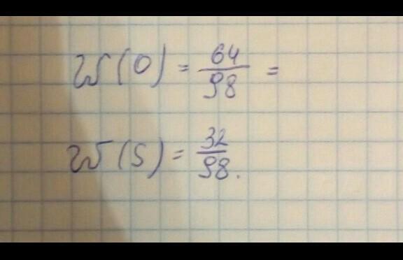
1

Ответ:

1 0.653= 65,3%

2 0.326=32.6%

Объяснение:


АЛИКА2003: что именно она попросила найти?
dasha205290: Она сказала, найти то что я задаю в вопросе
dasha205290: W(H)=64/98
dasha205290: W(S)=32/98
dasha205290: вот это и надо найти
АЛИКА2003: ааа,так ответ который я тебе написала- это массовая доля водорода и серы в веществах, только я тебе еще в процентах сейчас напишу
dasha205290: хорошо,спасибо огромное
АЛИКА2003: это правда все) надеюсь чем то помогла
dasha205290: очень сильно помогла, спасибо ещё раз
АЛИКА2003: не за что ♥
Вас заинтересует