Ответы
Ответ дал:
0
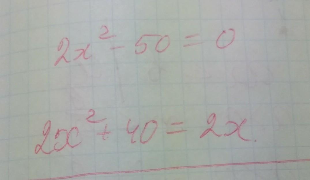
2х²-50=0
х²-25=0
(х-5)×(х+5)=0
х-5=0
х+5=0
х=5
х=-5
х(под х пишем 1)=-5
х(под х пишем 2)=5
Я решила с помощью разложения на множители.
2х²+40=2х
х²+20=х
х²+20-х=0
х²-х+20=0
Если, что где -(-1)±√(-1)²-4×1×20, и где 1±√-79 (там просто нельзя проставить знак±)
На фотографии ответ
Приложения:

Ответ дал:
0
Ответ:
2х²-50=0
х²-25=0
(х-5)×(х+5)=0
х-5=0
х+5=0
х=5
х=-5
х(под х пишем 1)=-5
х(под х пишем 2)=5
Я решила с помощью разложения на множители.
2х²+40=2х
х²+20=х
х²+20-х=0
х²-х+20=0
x = \frac{ - ( - 1) + \sqrt{( - 1) ^{2} - 4 \times 1 \times 20 } }{2 \times 1}x=
2×1
−(−1)+
(−1)
2
−4×1×20
x = \frac{1 + \sqrt{ - 79} }{2}x=
2
1+
−79
и если где -(-1)±√(-1)²-4×1×20, и где 1±√-79 (там просто нельзя проставить знак±)
Аноним:
эм...
Вас заинтересует
1 год назад
1 год назад
3 года назад
8 лет назад