Ответы
Ответ дал:
1
Ответ:
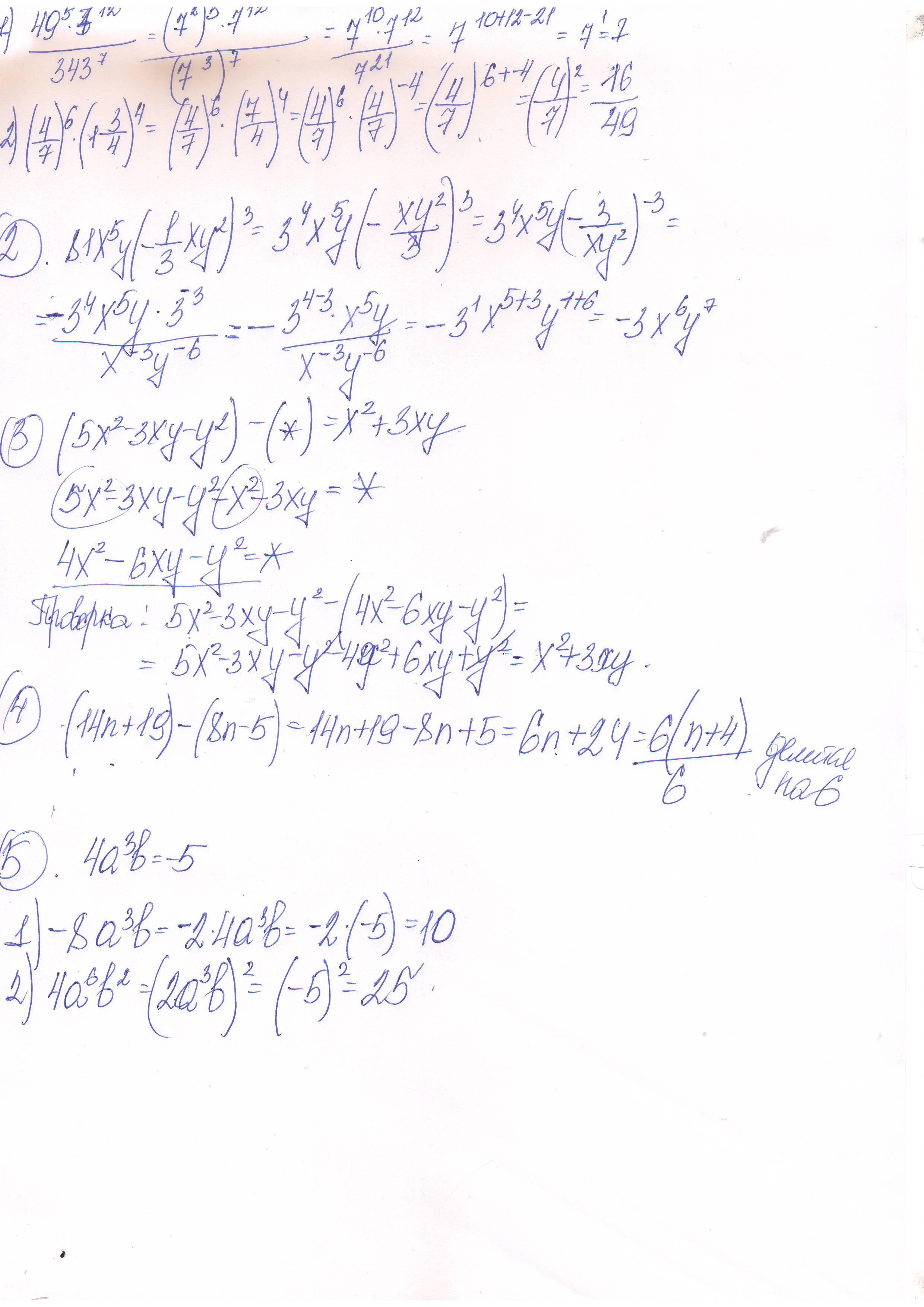
Вот
Объяснение:
Приложения:

Ответ дал:
1
Ответ:
держи
Объяснение:
Приложения:

Вас заинтересует
1 год назад
1 год назад
1 год назад
3 года назад
8 лет назад