• Предмет: Алгебра
  • Автор: kim1005
  • Вопрос задан 2 года назад

Помогите
(1,3,5)
Пожалуйста​

Приложения:

dimonmatveev05: как звучит задание
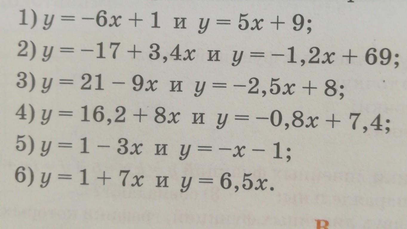
kim1005: найдите координат точек пересечения графиков функций:
dimonmatveev05: готово
kim1005: спасибо!!!

Ответы

Ответ дал: dimonmatveev05
1

Ответ:

1)у=-6х+1 и у=5х+9

-6x+1=5x+9

-6x-5x=9-1

-11x= 8

x= - 8/11

тогда у= 5*(-8/11)+9= -40/11 + 99/11=59/11=5⁴/₁₁

точка пересечения (-⁸/₁₁; 5 ⁴/₁₁)

3) у=16,2+8х и у=-0,8х+7,4

16,2+8х= -0,8х+7,4

16,2-7,4= -0,8х-8х

8,8= -8,8х

х= -1

тогда у= 16,2+8*(-1)=16,2-8=8,2

точка пересечения (-1; 8,2)

5) у=1-3х и у=-х-1

1-3х= -х-1

-3х+х=-1-1

-2х=-2

х=1

тогда у=1-3*1=1-3=-2

точка пересечения (1; -2)

Вас заинтересует